Linear combinations pictures
For vector u, v, w
Sometimes, 3 vectors fill a plane instead of a space, criteria as follows --
For vector u, v, w, if you can find c, d so that w = cu + dv, then w lies on the plane of cu + dv, and u+v+w also forms the plane of cu + dv
Solving linear equation

Elementary Row Operations

Example


Linear Equation Solution Pattern
Possible consequences

Non-unique solutions
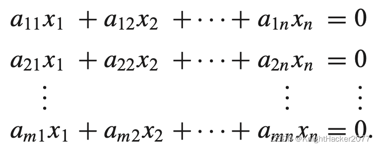
Homogeneous systems

- 等号后都是0.
- Consistent -- 永远有解(x1=x2=x3=...=xn=0) -- trivial solution

**如果m>=n, 矩阵有unique solution (trivial) or there are infinitely many nontrivial solutions
Matrix Operation Properties
- 加减法满足交换律,结合律

- 乘除法满足交换律,结合律
- 混合运算
Transpose
Rows become columns, columns become rows, denoted as
Symmetric Matrix
OR
symmetric across the main diagonal
Example

Inner & Outer Product




