Matlab复现TCM经典论文(一)部分公式推导以及M-PAM在AWGN下的信道容量仿真
- 1.简介
- 2. 信道容量公式
- 3. Q ( k ) = 1 N Q(k)= \frac{1}{N} Q(k)=N1下的信道容量公式
- 4. 使用蒙特卡洛法仿真M-PAM在AWGN下的信道容量
- 5. 误码率公式以及gap
- 6. 总结
1.简介
本文主要针对的UNGERBOECK的论文是Channel Coding with Multilevel/Phase Signals ,对于其中的部分公式和部分结果进行了matlab仿真,最近比较忙,博客写的比较潦草,工作量不多,就当辅助理解,抛砖引玉了。
2. 信道容量公式
论文中的公式 (3),是互信息的变形公式,信息论中的互信息, I ( X ; Y ) I(X;Y) I(X;Y),其中 X X X和 Y Y Y均可以是离散和连续的,在本篇论文中,输入 a a a是离散的,输出 z z z是连续的。
p
(
z
)
=
∑
i
=
0
N
−
1
Q
(
i
)
p
(
z
∣
a
i
)
p(z) = \sum_{i=0}^{N-1}Q(i)p(z|a^i)
p(z)=i=0∑N−1Q(i)p(z∣ai)
所以根据互信息的定义公式可以被写成下列的形式,并简化
∑
k
=
0
N
−
1
Q
(
k
)
∫
−
∞
∞
p
(
z
∣
a
k
)
log
2
{
p
(
z
∣
a
k
)
∑
i
=
0
N
−
1
Q
(
i
)
p
(
z
∣
a
i
)
}
d
z
=
∑
k
=
0
N
−
1
Q
(
k
)
∫
−
∞
∞
p
(
z
∣
a
k
)
{
log
2
p
(
z
∣
a
k
)
−
log
2
[
∑
i
=
0
N
−
1
Q
(
i
)
p
(
z
∣
a
i
)
)
]
}
d
z
=
∑
k
=
0
N
−
1
Q
(
k
)
∫
−
∞
∞
p
(
z
∣
a
k
)
{
log
2
p
(
z
∣
a
k
)
−
log
2
p
(
z
)
}
d
z
=
∑
k
=
0
N
−
1
∫
−
∞
∞
Q
(
k
)
p
(
z
∣
a
k
)
log
2
p
(
z
∣
a
k
)
d
z
−
∑
k
=
0
N
−
1
∫
−
∞
∞
Q
(
k
)
p
(
z
∣
a
k
)
log
2
p
(
z
)
d
z
=
∑
k
=
0
N
−
1
∫
−
∞
∞
Q
(
k
)
p
(
z
∣
a
k
)
log
2
p
(
z
∣
a
k
)
d
z
−
∫
−
∞
∞
p
(
z
)
log
2
p
(
z
)
d
z
\begin{aligned} &\sum_{k=0}^{N-1}Q(k)\int_{-\infty}^{\infty}p(z|a^k)\log_2\left\{ \frac{p(z|a^k)}{\sum_{i=0}^{N-1}Q(i)p(z|a^i)} \right\} dz \\ &=\sum_{k=0}^{N-1}Q(k)\int_{-\infty}^{\infty}p(z|a^k)\left\{ \log_2 p(z|a^k)-\log_2 \left[ \sum_{i=0}^{N-1}Q(i)p(z|a^i))\right] \right\} dz \\ &=\sum_{k=0}^{N-1}Q(k)\int_{-\infty}^{\infty}p(z|a^k)\left\{ \log_2 p(z|a^k)-\log_2 p(z) \right\} dz \\ &=\sum_{k=0}^{N-1}\int_{-\infty}^{\infty}Q(k)p(z|a^k)\log_2 p(z|a^k)dz -\sum_{k=0}^{N-1}\int_{-\infty}^{\infty}Q(k)p(z|a^k)\log_2 p(z)dz \\ &=\sum_{k=0}^{N-1}\int_{-\infty}^{\infty}Q(k)p(z|a^k)\log_2 p(z|a^k)dz -\int_{-\infty}^{\infty}p(z)\log_2 p(z)dz \end{aligned}
k=0∑N−1Q(k)∫−∞∞p(z∣ak)log2{∑i=0N−1Q(i)p(z∣ai)p(z∣ak)}dz=k=0∑N−1Q(k)∫−∞∞p(z∣ak){log2p(z∣ak)−log2[i=0∑N−1Q(i)p(z∣ai))]}dz=k=0∑N−1Q(k)∫−∞∞p(z∣ak){log2p(z∣ak)−log2p(z)}dz=k=0∑N−1∫−∞∞Q(k)p(z∣ak)log2p(z∣ak)dz−k=0∑N−1∫−∞∞Q(k)p(z∣ak)log2p(z)dz=k=0∑N−1∫−∞∞Q(k)p(z∣ak)log2p(z∣ak)dz−∫−∞∞p(z)log2p(z)dz
其中,
Q
(
k
)
p
(
z
∣
a
k
)
Q(k)p(z|a^k)
Q(k)p(z∣ak)可以看做是联合分布,所以我们有
∑
k
=
0
N
−
1
∫
−
∞
∞
Q
(
k
)
p
(
z
∣
a
k
)
log
2
p
(
z
∣
a
k
)
d
z
−
∫
−
∞
∞
p
(
z
)
log
2
p
(
z
)
d
z
=
h
(
Z
)
−
h
(
Z
∣
A
)
=
I
(
Z
;
A
)
\begin{aligned} &\sum_{k=0}^{N-1}\int_{-\infty}^{\infty}Q(k)p(z|a^k)\log_2 p(z|a^k)dz -\int_{-\infty}^{\infty}p(z)\log_2 p(z)dz \\ & = h(Z)- h(Z|A)\\ &= I(Z;A) \end{aligned}
k=0∑N−1∫−∞∞Q(k)p(z∣ak)log2p(z∣ak)dz−∫−∞∞p(z)log2p(z)dz=h(Z)−h(Z∣A)=I(Z;A)
因此我们可计算信道容量,和论文的公式 (3)一致
C
=
max
Q
(
0
)
…
Q
(
N
−
1
)
I
(
Z
;
A
)
=
max
Q
(
0
)
…
Q
(
N
−
1
)
∑
k
=
0
N
−
1
Q
(
k
)
∫
−
∞
∞
p
(
z
∣
a
k
)
log
2
{
p
(
z
∣
a
k
)
∑
i
=
0
N
−
1
Q
(
i
)
p
(
z
∣
a
i
)
}
d
z
\begin{aligned} C &= \max \limits_{Q(0)\dots Q(N-1)}I(Z;A) \\ &=\max \limits_{Q(0)\dots Q(N-1)} \sum_{k=0}^{N-1}Q(k)\int_{-\infty}^{\infty}p(z|a^k)\log_2\left\{ \frac{p(z|a^k)}{\sum_{i=0}^{N-1}Q(i)p(z|a^i)} \right\} dz \end{aligned}
C=Q(0)…Q(N−1)maxI(Z;A)=Q(0)…Q(N−1)maxk=0∑N−1Q(k)∫−∞∞p(z∣ak)log2{∑i=0N−1Q(i)p(z∣ai)p(z∣ak)}dz
3. Q ( k ) = 1 N Q(k)= \frac{1}{N} Q(k)=N1下的信道容量公式
接下来是公式(5)的推导
C
Q
(
k
)
=
1
/
N
∗
=
∑
k
=
0
N
−
1
1
N
∫
−
∞
∞
p
(
z
∣
a
k
)
log
2
{
p
(
z
∣
a
k
)
∑
i
=
0
N
−
1
1
N
p
(
z
∣
a
i
)
}
d
z
=
∑
k
=
0
N
−
1
1
N
∫
−
∞
∞
p
(
z
∣
a
k
)
{
−
log
2
[
∑
i
=
0
N
−
1
1
N
p
(
z
∣
a
i
)
p
(
z
∣
a
k
)
]
}
d
z
=
∑
k
=
0
N
−
1
1
N
∫
−
∞
∞
p
(
z
∣
a
k
)
{
log
2
(
N
)
−
log
2
∑
i
=
0
N
−
1
p
(
z
∣
a
i
)
p
(
z
∣
a
k
)
}
d
z
=
log
2
(
N
)
∑
k
=
0
N
−
1
∫
−
∞
∞
1
N
p
(
z
∣
a
k
)
d
z
−
1
N
∑
k
=
0
N
−
1
∫
−
∞
∞
p
(
z
∣
a
k
)
log
2
∑
i
=
0
N
−
1
p
(
z
∣
a
i
)
p
(
z
∣
a
k
)
d
z
=
log
2
(
N
)
−
1
N
∑
k
=
0
N
−
1
∫
−
∞
∞
p
(
z
∣
a
k
)
log
2
∑
i
=
0
N
−
1
p
(
z
∣
a
i
)
p
(
z
∣
a
k
)
d
z
\begin{aligned} C_{Q(k)=1/N}^{*} &= \sum_{k=0}^{N-1}\frac{1}{N}\int_{-\infty}^{\infty}p(z|a^k)\log_2\left\{ \frac{p(z|a^k)}{\sum_{i=0}^{N-1}\frac{1}{N}p(z|a^i)} \right\} dz\\ &= \sum_{k=0}^{N-1}\frac{1}{N}\int_{-\infty}^{\infty}p(z|a^k)\left\{ -\log_2\left[ \sum_{i=0}^{N-1}\frac{1}{N}\frac{p(z|a^i)}{p(z|a^k)} \right]\right\} dz \\ &=\sum_{k=0}^{N-1}\frac{1}{N}\int_{-\infty}^{\infty}p(z|a^k)\left\{ \log_2 (N) - \log_2 \frac{\sum_{i=0}^{N-1}p(z|a^i)}{p(z|a^k)} \right\} dz \\ &=\log_2(N)\sum_{k=0}^{N-1}\int_{-\infty}^{\infty}\frac{1}{N}p(z|a^k)dz - \frac{1}{N}\sum_{k=0}^{N-1}\int_{-\infty}^{\infty}p(z|a^k)\log_2\frac{\sum_{i=0}^{N-1}p(z|a^i)}{p(z|a^k)}dz \\ &=\log_2(N) - \frac{1}{N}\sum_{k=0}^{N-1}\int_{-\infty}^{\infty}p(z|a^k)\log_2\sum_{i=0}^{N-1}\frac{p(z|a^i)}{p(z|a^k)}dz \end{aligned}
CQ(k)=1/N∗=k=0∑N−1N1∫−∞∞p(z∣ak)log2{∑i=0N−1N1p(z∣ai)p(z∣ak)}dz=k=0∑N−1N1∫−∞∞p(z∣ak){−log2[i=0∑N−1N1p(z∣ak)p(z∣ai)]}dz=k=0∑N−1N1∫−∞∞p(z∣ak){log2(N)−log2p(z∣ak)∑i=0N−1p(z∣ai)}dz=log2(N)k=0∑N−1∫−∞∞N1p(z∣ak)dz−N1k=0∑N−1∫−∞∞p(z∣ak)log2p(z∣ak)∑i=0N−1p(z∣ai)dz=log2(N)−N1k=0∑N−1∫−∞∞p(z∣ak)log2i=0∑N−1p(z∣ak)p(z∣ai)dz
论文中的公式(4)如下
p
(
z
∣
a
k
)
=
e
x
p
[
−
∣
z
−
a
k
∣
/
2
σ
2
]
⋅
{
(
2
π
σ
2
)
−
1
/
2
o
n
e
−
d
i
m
e
n
s
i
o
n
(
2
π
σ
2
)
−
1
t
w
o
−
d
i
m
e
n
s
i
o
n
p(z|a^k) = \mathrm{exp}[-|z-a^k|/2\sigma^2]\cdot\left\{\begin{aligned} &(2\pi\sigma^2)^{-1/2}\qquad one-dimension \\ &(2\pi\sigma^2)^{-1 } \qquad two-dimension\\ \end{aligned} \right.
p(z∣ak)=exp[−∣z−ak∣/2σ2]⋅{(2πσ2)−1/2one−dimension(2πσ2)−1two−dimension
将公式(4)代入,并且我们采用蒙特卡洛法进行模拟计算
log
2
(
N
)
−
1
N
∑
k
=
0
N
−
1
∫
−
∞
∞
p
(
z
∣
a
k
)
log
2
∑
i
=
0
N
−
1
p
(
z
∣
a
i
)
p
(
z
∣
a
k
)
d
z
=
log
2
(
N
)
−
1
N
∑
k
=
0
N
−
1
E
{
log
2
∑
i
=
0
N
−
1
p
(
z
∣
a
i
)
p
(
z
∣
a
k
)
}
=
log
2
(
N
)
−
1
N
∑
k
=
0
N
−
1
E
{
log
2
∑
i
=
0
N
−
1
e
x
p
[
−
∣
z
−
a
i
∣
2
+
∣
z
−
a
k
∣
2
2
σ
2
]
}
=
log
2
(
N
)
−
1
N
∑
k
=
0
N
−
1
E
{
log
2
∑
i
=
0
N
−
1
e
x
p
[
−
∣
a
k
+
w
−
a
i
∣
2
+
∣
w
∣
2
2
σ
2
]
}
\begin{aligned} &\log_2(N) - \frac{1}{N}\sum_{k=0}^{N-1}\int_{-\infty}^{\infty}p(z|a^k)\log_2\sum_{i=0}^{N-1}\frac{p(z|a^i)}{p(z|a^k)}dz \\ &=\log_2(N) - \frac{1}{N}\sum_{k=0}^{N-1}E\left\{ \log_2\sum_{i=0}^{N-1}\frac{p(z|a^i)}{p(z|a^k)}\right\}\\ &=\log_2(N) - \frac{1}{N}\sum_{k=0}^{N-1}E\left\{\log_2\sum_{i=0}^{N-1} \mathrm{exp}\left[ \frac{-|z-a^i|^2+|z-a^k|^2}{2\sigma^2} \right] \right\} \\ &=\log_2(N) - \frac{1}{N}\sum_{k=0}^{N-1}E\left\{\log_2\sum_{i=0}^{N-1} \mathrm{exp}\left[ \frac{-|a^k+w-a^i|^2+|w|^2}{2\sigma^2} \right] \right\} \end{aligned}
log2(N)−N1k=0∑N−1∫−∞∞p(z∣ak)log2i=0∑N−1p(z∣ak)p(z∣ai)dz=log2(N)−N1k=0∑N−1E{log2i=0∑N−1p(z∣ak)p(z∣ai)}=log2(N)−N1k=0∑N−1E{log2i=0∑N−1exp[2σ2−∣z−ai∣2+∣z−ak∣2]}=log2(N)−N1k=0∑N−1E{log2i=0∑N−1exp[2σ2−∣ak+w−ai∣2+∣w∣2]}
当
k
k
k确定时,其中
z
=
a
k
+
w
z = a^k +w
z=ak+w
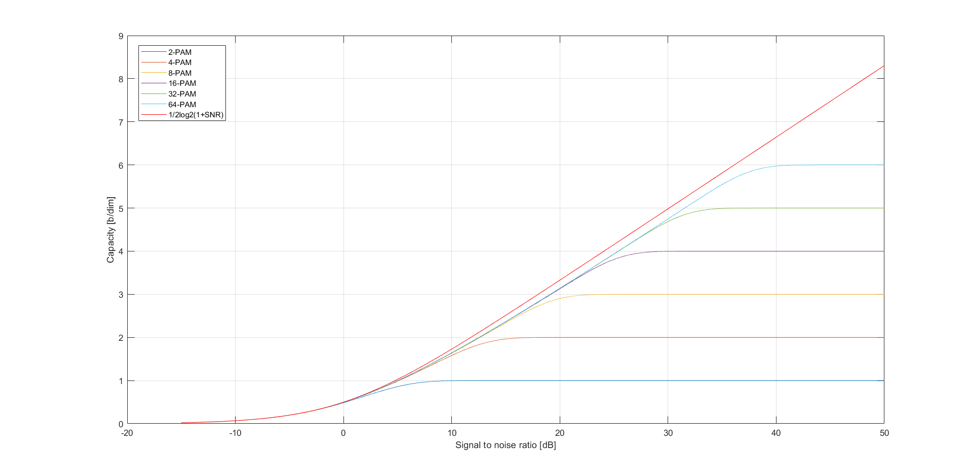
4. 使用蒙特卡洛法仿真M-PAM在AWGN下的信道容量
直接贴matlab代码了,这个就是论文中的Fig.2
clear
clc
% M-PAM
m_arr = [2,4,8,16,32,64];
%SNR
snr_dB=[-15:0.5:50];
%capacity for differenet SNR and M
c_plot = zeros(length(m_arr),length(snr_dB));
%iterations per M
iters=10;
%symbols per iteration
sym_num=1000;
% for each M
for m_index = 1:length(m_arr)
m = m_arr(m_index);
m
%assume E{|a|^2} =1
d = sqrt(12/(m^2-1));
constell = (1:m)*d;
%generate constellation diagram
constell = constell - mean(constell);
%uniform distribution
prop_constell=ones(1,length(constell)) * 1/ length(constell);
power=sum(prop_constell.*constell.^2); % =1
for snr_index=1:length(snr_dB)
snr=10^(snr_dB(snr_index)/10);
%sigma of N
sigma2=power/snr;
sigma=sqrt(sigma2);
c_temp=zeros(1,iters);
for index_iters=1:iters
%a before modualtion
x=rand(1,sym_num);
pconstell=cumsum(prop_constell);
a=zeros(1,sym_num);
a(x<=pconstell(1))=constell(1);
% Modulation
for index_constell=2:length(constell)
a(x>pconstell(index_constell-1)&x<=pconstell(index_constell))=constell(index_constell);
end
% Noise (0,sigma2)
Noise=sigma*randn(1,sym_num);
% z
z = a+Noise;
% equation 5, the plot result is the same but slower while simulation
% sum1=0;
% for k =1:m
% sum2=0;
% for i = 1:m
% exp1 = exp(-(Noise).^2/(2*sigma2));
% inner = (Noise+constell(k)-constell(i));
% exp2 =exp((-(inner).^2)/(2*sigma2));
% sum2 = sum2+(exp2./exp1);
% end
% sum1 = sum1+ mean(log2(sum2));
% end
% c_temp(index_iters)=log2(m) -(sum1/m);
%also equation 5 but much faster while simulation
sum_tmp=0;
for i = 1:m
p1=exp(-(Noise).^2/(2*sigma2));
p2 =exp(-(z-constell(i)).^2/(2*sigma2));
sum_tmp = sum_tmp+ p2./p1;
end
c_temp(index_iters)=log2(m)-mean(log2(sum_tmp));
end
c(snr_index)=mean(c_temp);
end
%save the result
c_plot(m_index,:) = c(:);
end
%ideal capacity
SNR = zeros(1,length(snr_dB));
targetC =zeros(1,length(snr_dB));
new_snr_dB=[-15:0.01:50];
for i =1:length(new_snr_dB)
SNR(i) = 10^(new_snr_dB(i)/10);
targetC(i) = 0.5*log2(1+SNR(i));
end
for i = 1:length(m_arr)
plot(snr_dB,c_plot(i,:));
hold on;
end
plot(new_snr_dB,targetC,'r');
grid on
legend(['Uniform ' num2str(m) '-constell']);
temp = c_plot(6,:);
xlabel('Signal to noise ratio [dB]');
ylabel('Capacity [b/dim]');
legend('2-PAM','4-PAM','8-PAM','16-PAM','32-PAM','64-PAM','1/2log2(1+SNR)')
画出来的图像应该如下所示

5. 误码率公式以及gap
在M-PAM的星座图中, 我们有
M
M
M个星座点
p
0
⋯
p
M
−
1
p_0 \cdots p_{M-1}
p0⋯pM−1. 接收到的symbol
s
s
s在星座图上,存在两种形式. 它存在于最外层的两个星座点,或者属于内部的
M
−
2
M-2
M−2个星座点. 假设
d
d
d是symbol
s
s
s距离它的正确点
p
′
p^{\prime}
p′ 的距离。并且假设
D
D
D是星座点之间的距离。
P
s
=
Pr
(
s
≠
p
′
)
=
2
M
Pr
(
d
<
D
2
)
+
M
−
2
M
[
Pr
(
d
<
−
D
2
)
+
Pr
(
d
>
D
2
)
]
=
2
M
Pr
(
d
N
0
/
2
<
D
2
N
0
/
2
)
+
2
(
M
−
2
)
M
Pr
(
d
N
0
/
2
<
D
2
N
0
/
2
)
=
2
(
M
−
1
)
M
Q
(
D
2
N
0
)
\begin{aligned} P_s &=\Pr(s \neq p^{\prime})\\ &=\frac{2}{M} \Pr(d < \frac{D}{2}) + \frac{M-2}{M}\left[ \Pr(d < -\frac{D}{2}) + \Pr(d>\frac{D}{2})\right]\\ &=\frac{2}{M}\Pr (\frac{d}{\sqrt{N_0/2}} <\frac{D}{2\sqrt{N_0/2}} )+\frac{2(M-2)}{M} \Pr( \frac{d}{\sqrt{N_0/2}} < \frac{D}{2\sqrt{N_0/2}})\\ &=\frac{2(M-1)}{M}Q(\sqrt{\frac{D}{2N_0}}) \end{aligned}
Ps=Pr(s=p′)=M2Pr(d<2D)+MM−2[Pr(d<−2D)+Pr(d>2D)]=M2Pr(N0/2d<2N0/2D)+M2(M−2)Pr(N0/2d<2N0/2D)=M2(M−1)Q(2N0D)
我们又有关于
S
N
R
SNR
SNR和
E
S
E_S
ES的公式如下
S
N
R
=
E
s
N
0
/
2
E
s
=
(
M
2
−
1
)
D
/
12
\begin{aligned} SNR &=\frac{E_s}{N_0/2} \\ E_s &= (M^2-1)D/12 \end{aligned}
SNREs=N0/2Es=(M2−1)D/12
所以误码率如下
P
s
=
2
(
M
−
1
)
M
Q
(
3
S
N
R
M
2
−
1
)
\begin{aligned} P_s = \frac{2(M-1)}{M}Q(\sqrt{\frac{3SNR}{M^2-1}}) \end{aligned}
Ps=M2(M−1)Q(M2−13SNR)
由此,我们发现,在误码率
P
e
=
1
0
−
5
P_e = 10^{-5}
Pe=10−5下,存在一个gap损失,如下图

我们接下来就需要TCM编码来缩小这一Gap的损失
6. 总结
这是在国外选修的第一门课的其中一次作业,所以代码注释是英语的,英文不好,见谅。马上圣诞节了,无心学习,所以写的很简略,见谅见谅。
