填空(1)
文字描述:
1.定义整数m=23,n=5;
2.将m,n代入d=!m+m%n;
3.输出d

填空(6)
文字描述:
1.定义整型x=1,y=2;
2.将x,z代入d=(x>y)&&(--x>0);
3.输出x;

填空(15)
1.定义整型a=0,b=3,c=2;
2.如果(a++&&b++)c--;
3.否则(a+==6||b--)c++;
4.输出a,b,c;
填空(16)
1.输入a,b,c;
2.将a,b,c代入d=sqrt(fabs(a))!=(4*a/b*c)
3.输出d; 
填空(17)
1.定义整型a=0,b=0,c=0;
2.将a,b,c代入a++&&(b+=a)||++c;
3.输出a,b,c;

单选(8)
1.输入x,y;
2.如果x>y,真输出a=x;b=y,假输出a=y;b=x;
3.输出a;

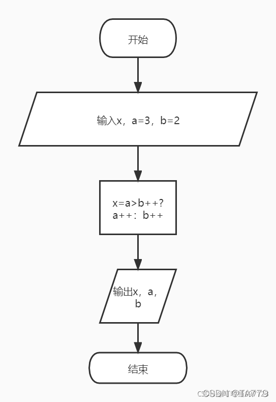
单选(10)
1.定义整型a=3,b=3,c=2;
2.将a,b,c代入x=a>b++?a++:b++;
3.输出x,a,b
;
单选(17)
1.定义整型n=8;
2.将n代入q=n%=n-2;
3.输出q;


单选(18)
1.定义整型a=3,b=2;
2.将a,b代入x=a>b++?a+:b++;
3.输出x,a,b;


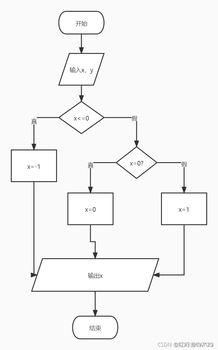
单选(25)
1.定义x,y;
2.若x<0?转第3步,则转第4步;
3.x=-1,转第7步
4.若x=0?转第5步,则转第6步;
5.x=0,转第7步;
6.x=1,转第7步;
7.输出x;


单选(20)
1.定义整型x,y,z;
2.如果x>y,则出现z=x,x=y,y=z;
3.输出x,a,b;


单选(24)
1.定义整型a,b;
2.将a,b代入b=--a||++b;
3.输出b;


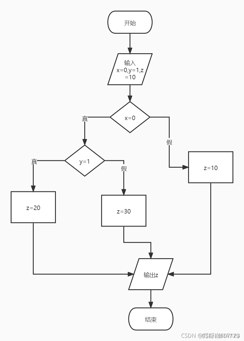
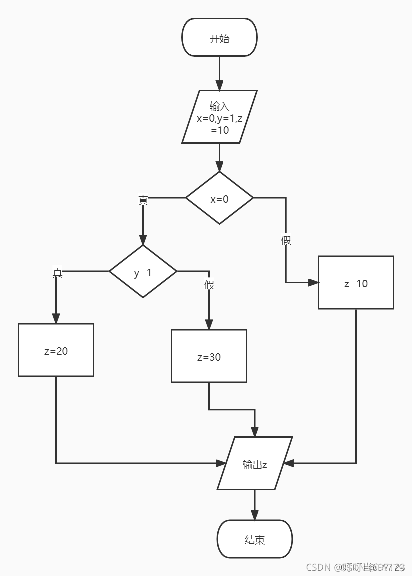
阅读(1)
1.定义x=0,y=1,z=10;
2.若x<=0?转第3步,否则转第6步;
3. 若y=1?转第4步,否则转第5步;
4.z=20,转第7步;
5.z=30,转第7步;
6.z=10,转第7步;
输出X;


阅读(3)
1.定义整型x,y,z;
2.如果x++&&(y+=x)||++z;
3.输出x,y,z;


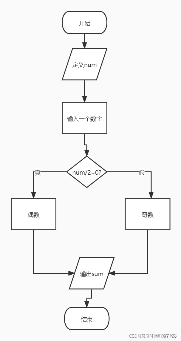
编程(1)
1.定义num;
2.输入任意数字;
3,若num/2=0?转第四步,则转第五步;
4.num/2=0,值为偶数赋给num,转第六步;
5.num/2!=0,值为奇数赋给num,转第六步;
6.输出num


编程(2)
1.定义小数型a,b,x1,x2,p,q;
2.输入三个系数赋值给a,b,c;
3.运算p=-b/(2*a);
4.q=sqrt(b*b-4*a*c)/(2*a);
5.x1=p+q;x2=p-q;
6.输出x1,x2;

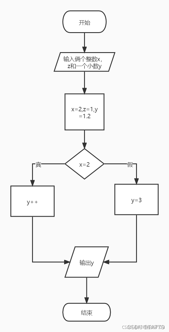
单选5.
1.定义俩个整数x,z和一个小数y
2.x=2,z=1,y=1.2
3.并判断x是否等于2
4.如等于则y加1
5.否则y=3


单选9
1. 定义俩个整数x,y
2.输入x的值
3.判断x>=0,
4.为真则y=1
5.为假则y=-1


阅读程序题(2)
1.定义俩个整数i,n
2.i=1,n=0
3.判断i=1,继续
4.i=2,n=n++
5.i=3,n=n++


编程题4
1.输入业务员的销售额x,工资为y
2.x<=10000,y=1000
3.10000<x<=20000,y=1000+(x-1000)*0.05
4.20000<x<=50000,y=1000+1000*0.05+(x-20000)*0.06
5.50000<x<=100000,y=1000+10000*0.05+30000*0.06+(x-50000)*0.07
6.x>100000,y=1000+10000*0.05+30000*0.06+50000*0.07+(x-100000)*0.08


